Your future begins here.
Discover thoughtfully planned living at Pueblo de Oro Canasujan, Carcar City—a pre-selling community designed for comfort, growth, and lasting value.
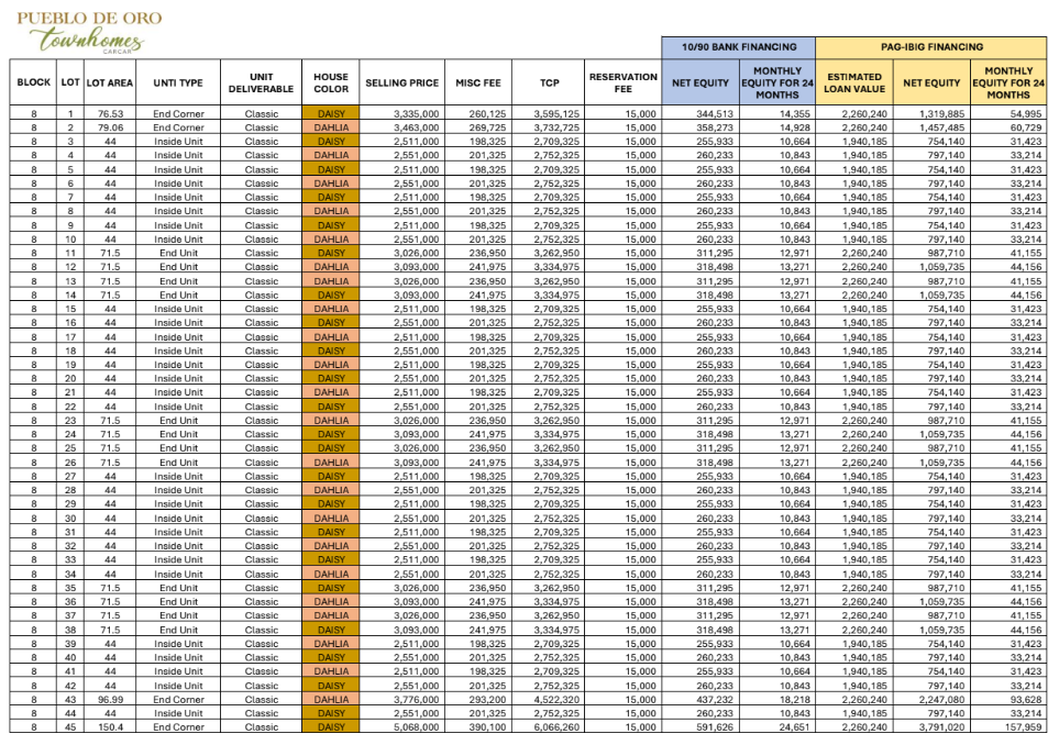
Project Details :
Lot Are : 10-Hectare Development
Unit : 900 Townhouses
Target : Completion : 2029
TOWNHOUSE – DAISY MODEL

DAHLIA MODEL

HOUSE DETAILS :
Unit Details :
• 2-Storey Townhouse
• Floor Area: 42 sqm
• Lot Area: 44–78 sqm
• Semi-finished (no bedroom partitions)
• 1 Toilet & Bath
• 1 Carport | Service Area
PHOTOS




















AMENITIES :




For more info & for site viewing:
Pls. Contact: CAROL N. CALIBO
Investment Manager
MauRealty & Brokerage
HLURB-CVRFO-A-11/18-0514
gmail: carolina.calibo16@gmail.com
Tel: (032)516-5441 / (032)427-7611
Sun: +639255003410 / +639329691358
Globe: +639176207235